Skip to main content

Department of Computer Science

WiLDToken

Rural areas often lack affordable broadband Internet connectivity. The resulting digital divide limits the access to knowledge, health care, economic growth and other services for billions of people.
20171004_fbinf_wildtoken_mk.png (DE)

Motivation

Nowadays, access to modern communication systems has become an essential part in most people's lives and in 2011 the United Nations deemed Internet access as a basic human right. Where some areas benefit from Internet access, others that do not are falling even further behind. This may even lead to a situation where companies and people are forced to leave a specific region.

Typical attributes of rural regions lead to a high CAPEX and OPEX for ISPs. Some of the main attributes of rural areas are low population density in combination with huge distances and in developing countries additionally lack of energy access and skilled labor. Because traditional operator equipment is usually tailored to dense areas, the costs exceed potential income or the revenue is too small for big carriers to address these markets

In order to further reduce the costs of backhauling in rural regions, alternative solutions are discussed to provide high-bandwidth satisfying the needs of today's customers for triple play services.

Optimization and modeling the DCF

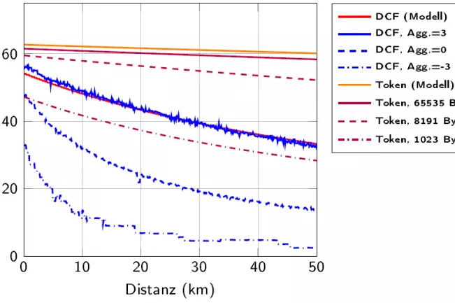
We developed extensions to a well-known Distributed Coordination Function (DCF) model to account for IEEE802.11n point-to-point links. The developed extensions cover adaptions to the throughput and delay estimation for this type of link as well peculiarities of hardware and implementations within the Linux Kernel. Instead of using simulations, the approach was extensively verified on real-world deployments at various link distances. Additionally, trials were conducted to optimize the CWmin values and the number of retries to maximize throughput and minimize delay. The results of this work can be used to estimate the properties of long-distance 802.11 links beforehand, allowing the network to be planned more accurately.

Token based MAC for WiLD Links

We developed WiLDToken as our solution to optimize the throughput, delay and fairness on WiLD links. Compared to previous alternative MAC layers protocols for WiLD our focus is the optimization of a single link in a multi-radio multi-channel mesh. We implemented our protocol in the ns-3 network simulator and show that WiLDToken is superior to an adapted version of the DCF on different link distances. We measured that the throughput on a single link is close to the physical datarate without a major decrease on longer-distances.

20171124_fbinf_mclab_wildtoken2_mk.png (DE)

Protocol design

WiLDToken is partly inspired by 2P and JazzyMAC which both implement SynOP on a single channel multi radio mesh network in order to avoid inter-link interference. It features a FSM that includes a synchronization and a data exchange phase. As an improvement, both block acknowledgements and frame aggregation (as proposed in 802.11n) are supported as well as selective retransmissions. Since WiLDToken focusses on PtP links, extensive ring management protocols can be avoided, leaving additional headroom for throughput and delay. We further provided a mathematical approximation of the estimated performance gain.

Implementation

For evaluation purposes, we implemented WiLDToken using the open source network simulation toolkit ns-3 after comparing several implementation strategies, including real world implementation with Linux SoftMAC, Click, OpenFlow and netfilter/traffic control (tc). Using simulation as our evaluation strategy allows us to reduce the influence of external factors, to enhance parameter variability and to achieve repeatable results. We exploited the existing ns-3 Wifi model by extending the inheritance hierarchy and adding our implementation based on the existing classes and data structures. At last, we provided a installable compilation of our source code and the necessary patches on our GitLab page.

Evaluation and Discussion

The evaluation shows a major increase in net throughput, achieving a performance gain of 9.4 to 84 percent (100m to 50km, maximum aggregation). Furthermore, the use of WiLDToken stabilizes and minimizes both delay and jitter due to the deterministic (and not randomized) behaviour of the protocol and the lack of a distance dependent random backoff window. By setting fixed send limits on both participating nodes, we are also able to provide fairness between the nodes and to adjust link symmetry according to traffic demands.

The contact person of this project is Michael Rademacher.